- Forward


Data Structures for Graphs/Networks
An Introduction


Prof. David Bernstein
James Madison University

Computer Science Department
bernstdh@jmu.edu

Print

Background
Back SMYC Forward
  • Graphs/Networks:
    • A finite set of vertices/nodes
    • A finite set of edges/arcs/links
  • Some Observations:
    • Graphs/networks are used in many disciplines
    • Some graphs/networks correspond to physical objects (e.g., electrical networks) and some do not (e.g., organizational charts)
    • The correspondence between physical objects and vertices and edges is not always obvious (e.g., in road networks)
Types of Structures
Back SMYC Forward
  • Contiguous:
    • Possible when the numbers of vertices and edges are known
  • Linked:
    • Can be used in all situations
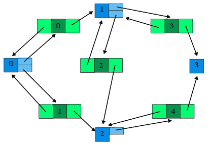
A Small Example
Back SMYC Forward

The Network

small-network
A Small Example (cont.)
Back SMYC Forward

Using Contiguous Memory

small-network_contiguous
A Small Example (cont.)
Back SMYC Forward

Using Linked Memory (With Known Size)

small-network_linked-node
A Small Example (cont.)
Back SMYC Forward

Using Linked Memory (With Known Size) - Flexible Node and Arc Attributes

small-network_linked-node-arc
Linked Memory with Unknown Size
Back SMYC Forward
  • Node Based:
    • Each node has access to a collection of reachable nodes
  • Node and Arc Based:
    • Each node has access to a collection of inbound and/or outbound arcs
    • Each arc has access to its tail and head node
There's Always More to Learn
Back -